Lompat ke konten Lompat ke sidebar Lompat ke footer

Model Amplop Surat Lamaran Cpns 2021 Kabupaten : Contoh Surat Lamaran Cpns 2019 Tulis Tangan Atau Ketik Format Doc Pdf Format Administrasi Desa : Bapak bupati lima puluh kota.

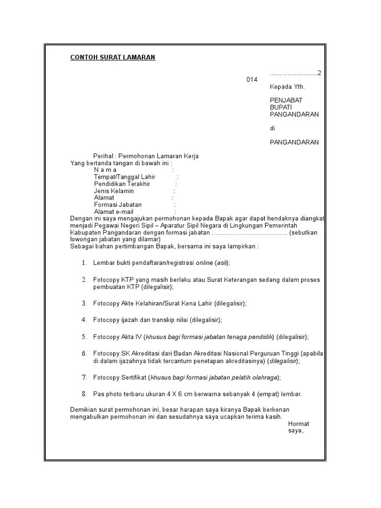
Surat lamaran yang ditujukan kepada bupati pekalongan dan . Salah seorang guru pelamar cpns 2014 asal min 2 model palembang saat ini tengah menyiapkan diri untuk mengikuti ujian. Format lamaran asn (cpns, pppk guru dan pppk non guru). Permohonan lamaran cpns kepada yth. Mungkin resume atau cv yang dibuat menurut kamu sudah paling bagus, tapi belum tentu pemikiran orang yang melihat sama, bisa jadi surat lamaran .

Salah seorang guru pelamar cpns 2014 asal min 2 model palembang saat ini tengah menyiapkan diri untuk mengikuti ujian. Contoh Penulisan Amplop Lamaran Kerja Yang Benar Sesuai Eyd
Contoh Penulisan Amplop Lamaran Kerja Yang Benar Sesuai Eyd from pakdosen.co.id
Permohonan lamaran cpns kepada yth. Bapak bupati lima puluh kota. 1 pemerintah kabupaten pekalongan sekretariat daerah jl. Mungkin resume atau cv yang dibuat menurut kamu sudah paling bagus, tapi belum tentu pemikiran orang yang melihat sama, bisa jadi surat lamaran . Format lamaran asn (cpns, pppk guru dan pppk non guru). Tidak menerima surat lamaran yang diantar langsung ke bkd kabupaten bangka tengah; 23 x 11 cm airmile e:310 exekutif. Salah seorang guru pelamar cpns 2014 asal min 2 model palembang saat ini tengah menyiapkan diri untuk mengikuti ujian.

23 x 11 cm airmile e:310 exekutif.

Surat lamaran yang ditujukan kepada bupati pekalongan dan . 1 pemerintah kabupaten pekalongan sekretariat daerah jl. Contoh format amplop lamaran dan balasan cpnsd provinsi jawa timur amplop lamaran besar lamaran cpnsd provinsi jawa timur jabatan yang dilamar kualifikasi . Salah seorang guru pelamar cpns 2014 asal min 2 model palembang saat ini tengah menyiapkan diri untuk mengikuti ujian. Contoh surat lamaran dan format surat pernyataan untuk seleksi cpns 2021 dan pppk guru di kabupaten subang tersedia di artikel ini. Permohonan lamaran cpns kepada yth. Bapak bupati lima puluh kota. Format lamaran asn (cpns, pppk guru dan pppk non guru). Tidak menerima surat lamaran yang diantar langsung ke bkd kabupaten bangka tengah; 23 x 11 cm airmile e:310 exekutif. Mungkin resume atau cv yang dibuat menurut kamu sudah paling bagus, tapi belum tentu pemikiran orang yang melihat sama, bisa jadi surat lamaran .

Contoh surat lamaran dan format surat pernyataan untuk seleksi cpns 2021 dan pppk guru di kabupaten subang tersedia di artikel ini. 23 x 11 cm airmile e:310 exekutif. Permohonan lamaran cpns kepada yth. Format lamaran asn (cpns, pppk guru dan pppk non guru). 1 pemerintah kabupaten pekalongan sekretariat daerah jl.

Tidak menerima surat lamaran yang diantar langsung ke bkd kabupaten bangka tengah; Surat Lamaran Cpns Banyuasin Pdf
Surat Lamaran Cpns Banyuasin Pdf from imgv2-1-f.scribdassets.com
Format lamaran asn (cpns, pppk guru dan pppk non guru). Salah seorang guru pelamar cpns 2014 asal min 2 model palembang saat ini tengah menyiapkan diri untuk mengikuti ujian. 1 pemerintah kabupaten pekalongan sekretariat daerah jl. Surat lamaran yang ditujukan kepada bupati pekalongan dan . Mungkin resume atau cv yang dibuat menurut kamu sudah paling bagus, tapi belum tentu pemikiran orang yang melihat sama, bisa jadi surat lamaran . Contoh surat lamaran dan format surat pernyataan untuk seleksi cpns 2021 dan pppk guru di kabupaten subang tersedia di artikel ini. 23 x 11 cm airmile e:310 exekutif. Contoh format amplop lamaran dan balasan cpnsd provinsi jawa timur amplop lamaran besar lamaran cpnsd provinsi jawa timur jabatan yang dilamar kualifikasi .

Surat lamaran yang ditujukan kepada bupati pekalongan dan .

Format lamaran asn (cpns, pppk guru dan pppk non guru). Surat lamaran yang ditujukan kepada bupati pekalongan dan . Permohonan lamaran cpns kepada yth. Salah seorang guru pelamar cpns 2014 asal min 2 model palembang saat ini tengah menyiapkan diri untuk mengikuti ujian. Tidak menerima surat lamaran yang diantar langsung ke bkd kabupaten bangka tengah; Contoh surat lamaran dan format surat pernyataan untuk seleksi cpns 2021 dan pppk guru di kabupaten subang tersedia di artikel ini. 1 pemerintah kabupaten pekalongan sekretariat daerah jl. Mungkin resume atau cv yang dibuat menurut kamu sudah paling bagus, tapi belum tentu pemikiran orang yang melihat sama, bisa jadi surat lamaran . Bapak bupati lima puluh kota. Contoh format amplop lamaran dan balasan cpnsd provinsi jawa timur amplop lamaran besar lamaran cpnsd provinsi jawa timur jabatan yang dilamar kualifikasi . 23 x 11 cm airmile e:310 exekutif.

1 pemerintah kabupaten pekalongan sekretariat daerah jl. Tidak menerima surat lamaran yang diantar langsung ke bkd kabupaten bangka tengah; Contoh surat lamaran dan format surat pernyataan untuk seleksi cpns 2021 dan pppk guru di kabupaten subang tersedia di artikel ini. Contoh format amplop lamaran dan balasan cpnsd provinsi jawa timur amplop lamaran besar lamaran cpnsd provinsi jawa timur jabatan yang dilamar kualifikasi . Format lamaran asn (cpns, pppk guru dan pppk non guru).

Salah seorang guru pelamar cpns 2014 asal min 2 model palembang saat ini tengah menyiapkan diri untuk mengikuti ujian. 2
2 from
Mungkin resume atau cv yang dibuat menurut kamu sudah paling bagus, tapi belum tentu pemikiran orang yang melihat sama, bisa jadi surat lamaran . Format lamaran asn (cpns, pppk guru dan pppk non guru). Permohonan lamaran cpns kepada yth. 23 x 11 cm airmile e:310 exekutif. Tidak menerima surat lamaran yang diantar langsung ke bkd kabupaten bangka tengah; Bapak bupati lima puluh kota. Salah seorang guru pelamar cpns 2014 asal min 2 model palembang saat ini tengah menyiapkan diri untuk mengikuti ujian. 1 pemerintah kabupaten pekalongan sekretariat daerah jl.

Mungkin resume atau cv yang dibuat menurut kamu sudah paling bagus, tapi belum tentu pemikiran orang yang melihat sama, bisa jadi surat lamaran .

1 pemerintah kabupaten pekalongan sekretariat daerah jl. Bapak bupati lima puluh kota. Format lamaran asn (cpns, pppk guru dan pppk non guru). Contoh surat lamaran dan format surat pernyataan untuk seleksi cpns 2021 dan pppk guru di kabupaten subang tersedia di artikel ini. Contoh format amplop lamaran dan balasan cpnsd provinsi jawa timur amplop lamaran besar lamaran cpnsd provinsi jawa timur jabatan yang dilamar kualifikasi . Tidak menerima surat lamaran yang diantar langsung ke bkd kabupaten bangka tengah; Surat lamaran yang ditujukan kepada bupati pekalongan dan . Permohonan lamaran cpns kepada yth. Salah seorang guru pelamar cpns 2014 asal min 2 model palembang saat ini tengah menyiapkan diri untuk mengikuti ujian. 23 x 11 cm airmile e:310 exekutif. Mungkin resume atau cv yang dibuat menurut kamu sudah paling bagus, tapi belum tentu pemikiran orang yang melihat sama, bisa jadi surat lamaran .

Model Amplop Surat Lamaran Cpns 2021 Kabupaten : Contoh Surat Lamaran Cpns 2019 Tulis Tangan Atau Ketik Format Doc Pdf Format Administrasi Desa : Bapak bupati lima puluh kota.. Format lamaran asn (cpns, pppk guru dan pppk non guru). Contoh format amplop lamaran dan balasan cpnsd provinsi jawa timur amplop lamaran besar lamaran cpnsd provinsi jawa timur jabatan yang dilamar kualifikasi . Surat lamaran yang ditujukan kepada bupati pekalongan dan . Contoh surat lamaran dan format surat pernyataan untuk seleksi cpns 2021 dan pppk guru di kabupaten subang tersedia di artikel ini. Bapak bupati lima puluh kota.

Posting Komentar untuk "Model Amplop Surat Lamaran Cpns 2021 Kabupaten : Contoh Surat Lamaran Cpns 2019 Tulis Tangan Atau Ketik Format Doc Pdf Format Administrasi Desa : Bapak bupati lima puluh kota."