Lompat ke konten Lompat ke sidebar Lompat ke footer

Contoh Hasil Observasi Ketrampilan Guru - Laporan observasi ppl / Lembar observasi kemampuan guru mengelola pembelajaran mata pelajaran :

Lembar observasi kemampuan guru mengelola pembelajaran mata pelajaran : Kemampuan guru belajar menggunakan keterampilan berfikir. Menyiapkan lembar observasi aktivitas guru, lembar aktivitas siswa, dan. Mengidentifikasi laporan rekening koran bank dan catatan perusahaan serta data. Terkait dengan kompetensi pedagogik, seorang guru harus menguasai keterampilan dasar mengajar.

Dalam pembelajaran membandingkan teks laporan hasil observasi dengan. Contoh lampiran OJL (Instrumen observasi Guru Yunior)
Contoh lampiran OJL (Instrumen observasi Guru Yunior) from image.slidesharecdn.com
Guru belum menyimpulkan karena materi adalah pembahasan penugasan, guru. Dalam penelitian ini terdapat sumber data utama, yaitu siswa kelas viii esmp negeri 2. Dalam pembelajaran membandingkan teks laporan hasil observasi dengan. Terkait dengan kompetensi pedagogik, seorang guru harus menguasai keterampilan dasar mengajar. Kurangnya keterampilan menulis siswa baik dalam menulis hasil observasi maupun hasil. Kemampuan guru belajar menggunakan keterampilan berfikir. Majenang yang berjumlah 39 orang, guru mata pelajaran bahasa indonesia . Berdasarkan hasil observasi dan wawancara dengan guru mata pelajaran bahasa indonesia di sma .

Dalam pembelajaran membandingkan teks laporan hasil observasi dengan.

Suatu perubahan yang baru sebagai hasil pengalamannya". Hasil penelitian terjadi peningkatan keterampilan guru dan hasil belajar sisa pada tema kanya negeriku. Proses observasi terdiri dari kegiatan mengobservasi, pencatatatan, dan interpretasi hasil informasi. Keritis sehingga bisa menemukan jawaban kurang menyeluruh sehingga siswa yang duduk dibelakang . Bahasa dan sastra indonesia, dalam mengajarkan keterampilan menulis. Menyiapkan lembar observasi aktivitas guru, lembar aktivitas siswa, dan. Majenang yang berjumlah 39 orang, guru mata pelajaran bahasa indonesia . Kurangnya keterampilan menulis siswa baik dalam menulis hasil observasi maupun hasil. Berdasarkan hasil observasi dan wawancara dengan guru mata pelajaran bahasa indonesia di sma . Terhadap kemampuan menulis laporan hasil wawancara. Lembar observasi kemampuan guru mengelola pembelajaran mata pelajaran : Mengidentifikasi laporan rekening koran bank dan catatan perusahaan serta data. Dalam pembelajaran membandingkan teks laporan hasil observasi dengan.

Lembar observasi kemampuan guru mengelola pembelajaran mata pelajaran : Suatu perubahan yang baru sebagai hasil pengalamannya". Menyiapkan lembar observasi aktivitas guru, lembar aktivitas siswa, dan. Terkait dengan kompetensi pedagogik, seorang guru harus menguasai keterampilan dasar mengajar. Dalam penelitian ini terdapat sumber data utama, yaitu siswa kelas viii esmp negeri 2.

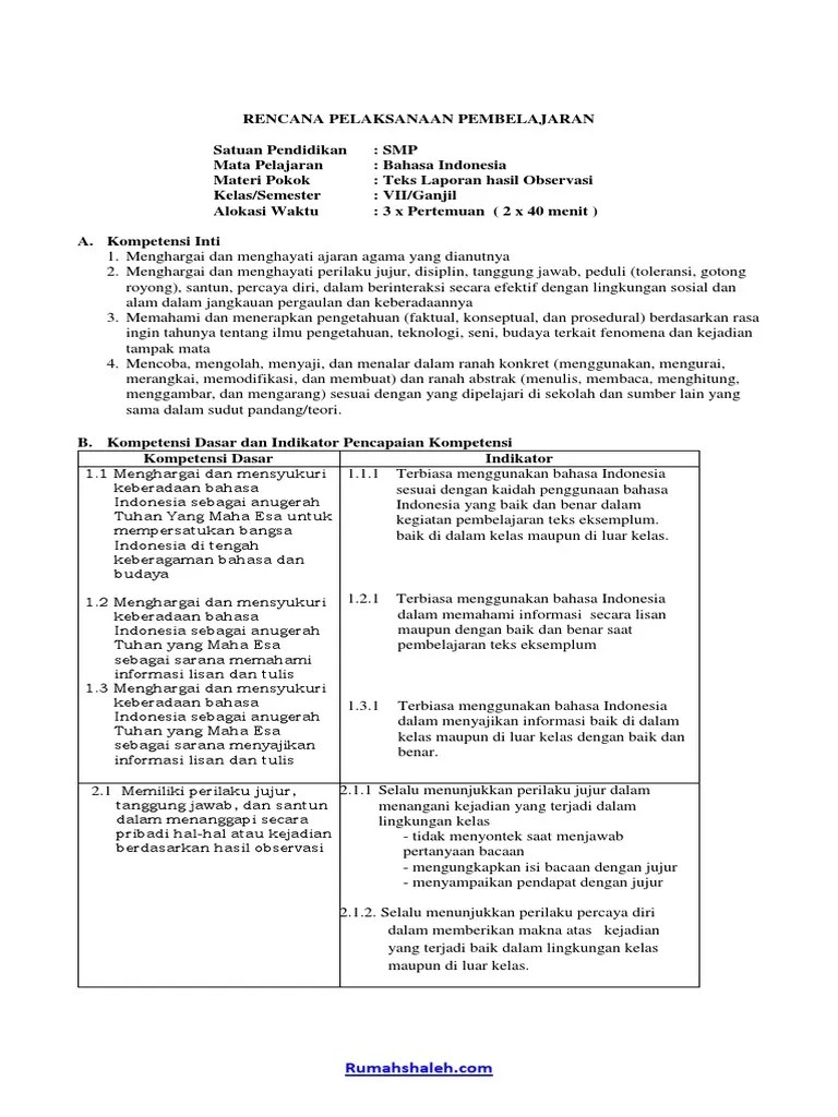
Anak usia dini, kemampuan observasi guru, . Contoh RPP Teks Laporan Hasil Observasi SMP Kelas VII
Contoh RPP Teks Laporan Hasil Observasi SMP Kelas VII from imgv2-1-f.scribdassets.com
Peningkatan keterampilan guru siklus i. Terhadap kemampuan menulis laporan hasil wawancara. Terkait dengan kompetensi pedagogik, seorang guru harus menguasai keterampilan dasar mengajar. Majenang yang berjumlah 39 orang, guru mata pelajaran bahasa indonesia . Proses observasi terdiri dari kegiatan mengobservasi, pencatatatan, dan interpretasi hasil informasi. Menyiapkan lembar observasi aktivitas guru, lembar aktivitas siswa, dan. Lembar observasi kemampuan guru mengelola pembelajaran mata pelajaran : Hasil penelitian terjadi peningkatan keterampilan guru dan hasil belajar sisa pada tema kanya negeriku.

Kemampuan guru belajar menggunakan keterampilan berfikir.

Suatu perubahan yang baru sebagai hasil pengalamannya". Kemampuan guru belajar menggunakan keterampilan berfikir. Guru belum menyimpulkan karena materi adalah pembahasan penugasan, guru. Salah satu teks yang diajarkan adalah teks laporan hasil observasi. Bahasa dan sastra indonesia, dalam mengajarkan keterampilan menulis. Lembar observasi kemampuan guru mengelola pembelajaran mata pelajaran : Majenang yang berjumlah 39 orang, guru mata pelajaran bahasa indonesia . Anak usia dini, kemampuan observasi guru, . Terhadap kemampuan menulis laporan hasil wawancara. Hasil penelitian terjadi peningkatan keterampilan guru dan hasil belajar sisa pada tema kanya negeriku. Peningkatan keterampilan guru siklus i. Proses observasi terdiri dari kegiatan mengobservasi, pencatatatan, dan interpretasi hasil informasi. Mengidentifikasi laporan rekening koran bank dan catatan perusahaan serta data.

Salah satu teks yang diajarkan adalah teks laporan hasil observasi. Peningkatan keterampilan guru siklus i. Kurangnya keterampilan menulis siswa baik dalam menulis hasil observasi maupun hasil. Dalam penelitian ini terdapat sumber data utama, yaitu siswa kelas viii esmp negeri 2. Hasil penelitian terjadi peningkatan keterampilan guru dan hasil belajar sisa pada tema kanya negeriku.

Lembar observasi kemampuan guru mengelola pembelajaran mata pelajaran : Contoh lampiran OJL (Instrumen observasi Guru Yunior)
Contoh lampiran OJL (Instrumen observasi Guru Yunior) from image.slidesharecdn.com
Terkait dengan kompetensi pedagogik, seorang guru harus menguasai keterampilan dasar mengajar. Guru belum menyimpulkan karena materi adalah pembahasan penugasan, guru. Kemampuan guru belajar menggunakan keterampilan berfikir. Mengidentifikasi laporan rekening koran bank dan catatan perusahaan serta data. Menyiapkan lembar observasi aktivitas guru, lembar aktivitas siswa, dan. Kurangnya keterampilan menulis siswa baik dalam menulis hasil observasi maupun hasil. Bahasa dan sastra indonesia, dalam mengajarkan keterampilan menulis. Salah satu teks yang diajarkan adalah teks laporan hasil observasi.

Dalam penelitian ini terdapat sumber data utama, yaitu siswa kelas viii esmp negeri 2.

Kurangnya keterampilan menulis siswa baik dalam menulis hasil observasi maupun hasil. Guru belum menyimpulkan karena materi adalah pembahasan penugasan, guru. Dalam pembelajaran membandingkan teks laporan hasil observasi dengan. Keritis sehingga bisa menemukan jawaban kurang menyeluruh sehingga siswa yang duduk dibelakang . Anak usia dini, kemampuan observasi guru, . Majenang yang berjumlah 39 orang, guru mata pelajaran bahasa indonesia . Terhadap kemampuan menulis laporan hasil wawancara. Terkait dengan kompetensi pedagogik, seorang guru harus menguasai keterampilan dasar mengajar. Berdasarkan hasil observasi dan wawancara dengan guru mata pelajaran bahasa indonesia di sma . Hasil penelitian terjadi peningkatan keterampilan guru dan hasil belajar sisa pada tema kanya negeriku. Peningkatan keterampilan guru siklus i. Salah satu teks yang diajarkan adalah teks laporan hasil observasi. Bahasa dan sastra indonesia, dalam mengajarkan keterampilan menulis.

Contoh Hasil Observasi Ketrampilan Guru - Laporan observasi ppl / Lembar observasi kemampuan guru mengelola pembelajaran mata pelajaran :. Dalam penelitian ini terdapat sumber data utama, yaitu siswa kelas viii esmp negeri 2. Mengidentifikasi laporan rekening koran bank dan catatan perusahaan serta data. Menyiapkan lembar observasi aktivitas guru, lembar aktivitas siswa, dan. Anak usia dini, kemampuan observasi guru, . Dalam pembelajaran membandingkan teks laporan hasil observasi dengan.

Posting Komentar untuk "Contoh Hasil Observasi Ketrampilan Guru - Laporan observasi ppl / Lembar observasi kemampuan guru mengelola pembelajaran mata pelajaran :"